Дополнительная задача 15 Глава 5 ГДЗ Мордкович Семенов 7 класс (Алгебра)
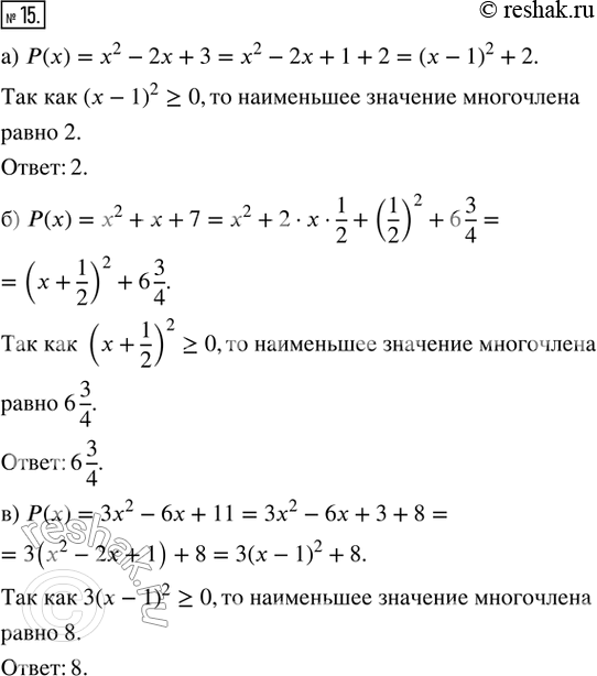
15. Выделяя полный квадрат, найдите наименьшее значение многочлена второй степени: а) Р(х) = х^2 - 2х + 3; б) Р(х) = х^2 + х + 7;

Ниже вариант решения задания из учебника Мордкович, Семенов, Александрова 7 класс, Бином:
15. Выделяя полный квадрат, найдите наименьшее значение многочлена второй степени:
а) Р(х) = х^2 - 2х + 3;
б) Р(х) = х^2 + х + 7;
в) Р(х) = 3х^2 - 6х + 11.
