Упражнение 109 Вариант 2 Дидактические материалы ГДЗ Мерзляк Полонский 8 класс (Алгебра)
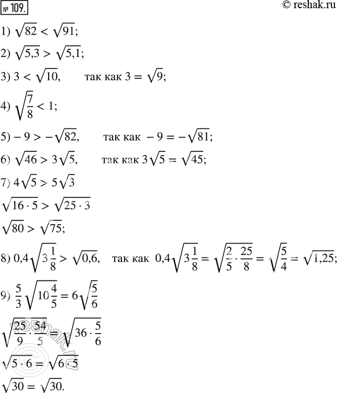
109. Сравните: 1) v82 и v91; 6) v46 и 3v5; 2) v5,3 и v5,1; 7) 4v5 и 5v3; 3) 3 и v10;

Ниже вариант решения задания из учебника Мерзляк, Полонский, Якир 8 класс, Вентана-Граф:
109. Сравните:
1) v82 и v91; 6) v46 и 3v5;
2) v5,3 и v5,1; 7) 4v5 и 5v3;
3) 3 и v10; 8) 0,4v(3 1/8) и v0,6;
4) v(7/8) и 1; 9) 5/3 v(10 4/5) и 6v(5/6).
5)-9 и -v82;
