Упражнение 142 Вариант 3 Дидактические материалы ГДЗ Мерзляк Полонский 8 класс (Алгебра)
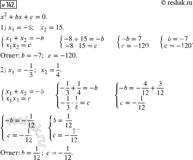
142. Найдите коэффициенты b и с уравнения х^2 + bх + с = О, если его корнями являются числа: 1) -8 и 15;

Ниже вариант решения задания из учебника Мерзляк, Полонский, Якир 8 класс, Вентана-Граф:
142. Найдите коэффициенты b и с уравнения х^2 + bх + с = О, если его корнями являются числа:
1) -8 и 15; 2) -1/3 и 1/4.
