Упражнение 167 Вариант 3 Дидактические материалы ГДЗ Мерзляк Полонский 8 класс (Алгебра)
167. Решите уравнение методом замены переменной: 1) x^2/(2x-1)^2 -4x/(2x-1)+3=0; 2) (x+4)/(x-2)+(x-2)/(x+4)=5 1/5; 3) (3x-1)/x-2x/5(3x-1) =9/5; 4) (5x-1)/(x-2)+5(x-2)/(5x+1)=6; 5) (x^2+4x-1)/3-4/(3x^2+12x-3)=1; 6) (x^2-6x-4)/x+6x/(x^2-6x-4)=-7;







Ниже вариант решения задания из учебника Мерзляк, Полонский, Якир 8 класс, Вентана-Граф:
167. Решите уравнение методом замены переменной:
1) x^2/(2x-1)^2 -4x/(2x-1)+3=0;
2) (x+4)/(x-2)+(x-2)/(x+4)=5 1/5;
3) (3x-1)/x-2x/5(3x-1) =9/5;
4) (5x-1)/(x-2)+5(x-2)/(5x+1)=6;
5) (x^2+4x-1)/3-4/(3x^2+12x-3)=1;
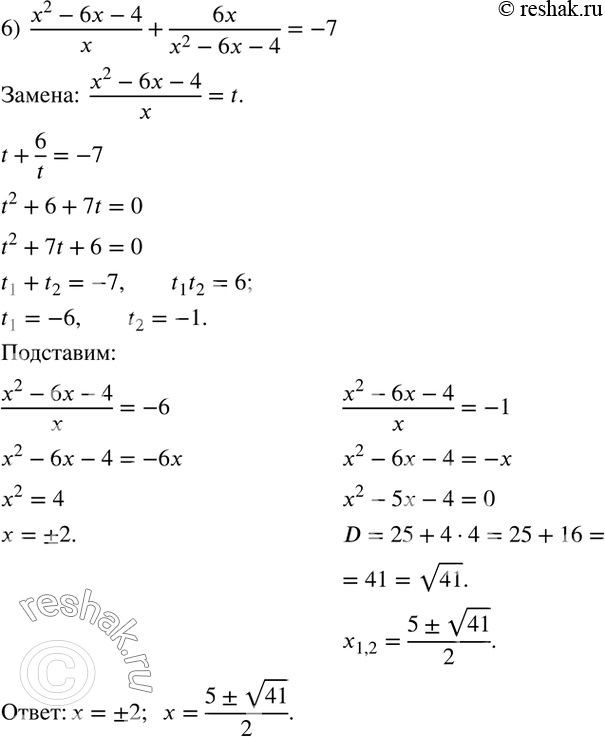
6) (x^2-6x-4)/x+6x/(x^2-6x-4)=-7;
7) 2/(x^2-5x+6)+3/(x^2-5x+7)=8/(x^2-5x+8);
8) 6/(x^2-3x+5)-x^2+3x=4.
