Упражнение 1.12 ГДЗ Мордкович 8 класс (Алгебра)
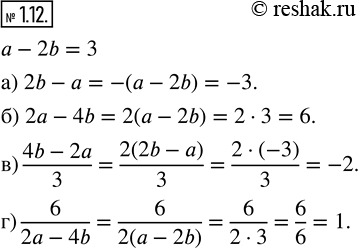
1.12. Зная, что а - 2b = 3, найдите значение выражения: а) 2b-a; б) 2a-4b; в) (4b-2a)/3; г) 6/(2a-4b).


Ниже вариант решения задания из учебника Мордкович 8 класс, Мнемозина:
1.12. Зная, что а - 2b = 3, найдите значение выражения:
а) 2b-a;
б) 2a-4b;
в) (4b-2a)/3;
г) 6/(2a-4b).
