Упражнение 15.9 ГДЗ Мордкович 8 класс (Алгебра)
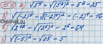
14.9 а) корень 5^4; б) корень (-2)^8; в) корень 2^12; г) корень (-5)^2.


Ниже вариант решения задания из учебника Мордкович 8 класс, Мнемозина:
14.9 а) корень 5^4;
б) корень (-2)^8;
в) корень 2^12;
г) корень (-5)^2.
