Упражнение 31.1 ГДЗ Мордкович 8 класс (Алгебра)
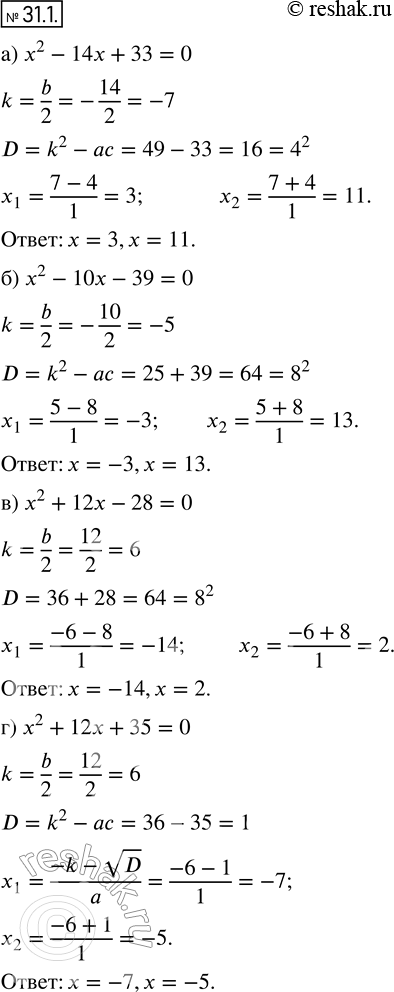
28.1. Решите уравнение: а) x2 - 14x + 33 = 0; б) x2 - 10x - 39 = 0; в) х2 + 12x - 28 = 0;


Ниже вариант решения задания из учебника Мордкович 8 класс, Мнемозина:
28.1. Решите уравнение:
а) x2 - 14x + 33 = 0;
б) x2 - 10x - 39 = 0;
в) х2 + 12x - 28 = 0;
г) x2 + 12x + 35 = 0.
