Упражнение 7.37 ГДЗ Мордкович 8 класс (Алгебра)
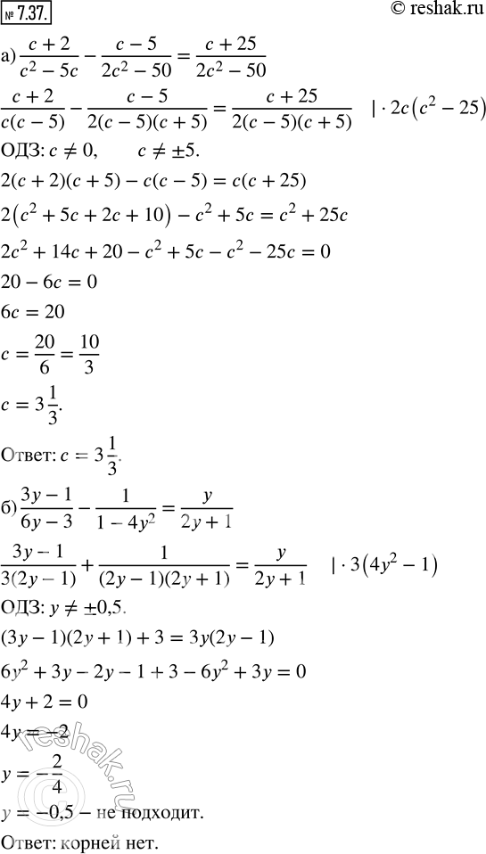
7.37. Решите уравнение:




Ниже вариант решения задания из учебника Мордкович 8 класс, Мнемозина:
7.37. Решите уравнение:




Ниже вариант решения задания из учебника Мордкович 8 класс, Мнемозина:
7.37. Решите уравнение: