Упражнение 18 Вариант 1 Дидактические материалы ГДЗ Мерзляк Полонский 9 класс (Алгебра)
18. Какие из чисел -5; 4; -6; 0; 1/3 являются решениями неравенства: 1) x> 1/3; 2) x3) 2x>x+1; 4) x^2-45) v(x+1)>2;


Ниже вариант решения задания из учебника Мерзляк, Полонский, Якир 9 класс, Вентана-Граф:
18. Какие из чисел -5; 4; -6; 0; 1/3 являются решениями неравенства:
1) x> 1/3;
2) x
3) 2x>x+1;
4) x^2-4
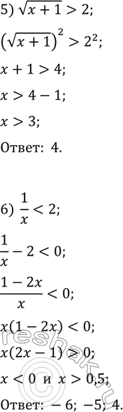
5) v(x+1)>2;
6) 1/x
