Упражнение 115 Вариант 2 Дидактические материалы ГДЗ Мерзляк Полонский 9 класс (Алгебра)
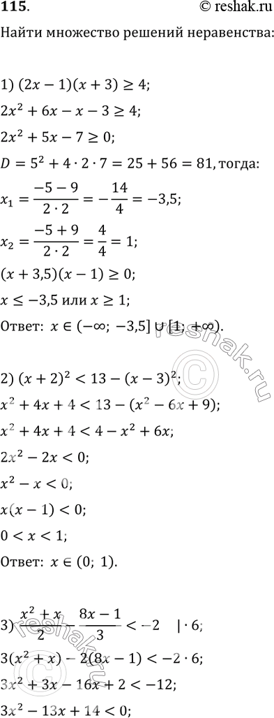
Найдите множество решений неравенства: 1) (2x-1)(x+3)>=4; 2) (x+2)^23) (x^2+x)/2-(8x-1)/34) (x^2-4x)/8+(x-3)/5>=(1-x)/6


Ниже вариант решения задания из учебника Мерзляк, Полонский, Якир 9 класс, Вентана-Граф:
Найдите множество решений неравенства:
1) (2x-1)(x+3)>=4;
2) (x+2)^2
3) (x^2+x)/2-(8x-1)/3
4) (x^2-4x)/8+(x-3)/5>=(1-x)/6
