Упражнение 18 Вариант 2 Дидактические материалы ГДЗ Мерзляк Полонский 9 класс (Алгебра)
Какие из чисел -7,5; 2; -1;0 являются решениями неравенства: 1) x>= 1/2; 2) x3) 3x>x+5; 4) x^2-365) v(x-1)>=2; 6) 1/x>=1;


Ниже вариант решения задания из учебника Мерзляк, Полонский, Якир 9 класс, Вентана-Граф:
Какие из чисел -7,5; 2; -1;0 являются решениями неравенства:
1) x>= 1/2;
2) x
3) 3x>x+5;
4) x^2-36
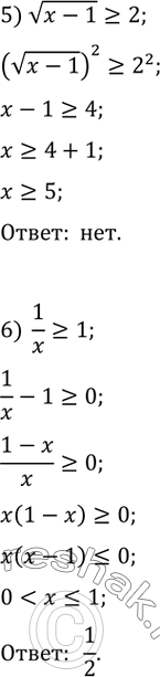
5) v(x-1)>=2;
6) 1/x>=1;
