Упражнение 68 Вариант 2 Дидактические материалы ГДЗ Мерзляк Полонский 9 класс (Алгебра)
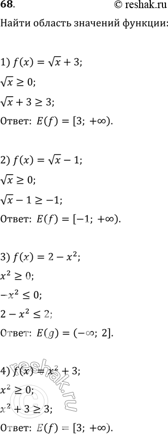
Найдите область значений функции: 1) f(x)=vx+3; 2) f(x)=vx-1; 3) f(x)=2-x^2; 4) f(x)=x^2+3; 5) f(x)=|x|+1; 6) f(x)=v(x^2+1)-3; 7) f(x)=v(-|x| ); 8) f(x)=v(x-1)+v(1-x);


Ниже вариант решения задания из учебника Мерзляк, Полонский, Якир 9 класс, Вентана-Граф:
Найдите область значений функции:
1) f(x)=vx+3;
2) f(x)=vx-1;
3) f(x)=2-x^2;
4) f(x)=x^2+3;
5) f(x)=|x|+1;
6) f(x)=v(x^2+1)-3;
7) f(x)=v(-|x| );
8) f(x)=v(x-1)+v(1-x);
