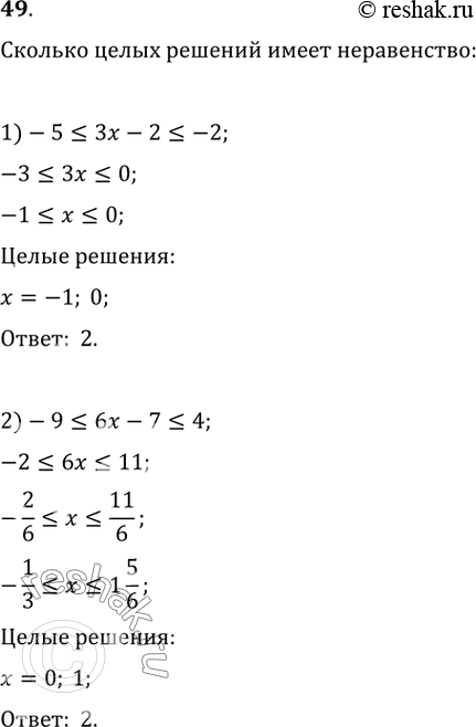
Упражнение 49 Вариант 3 Дидактические материалы ГДЗ Мерзляк Полонский 9 класс (Алгебра)
Сколько целых решений имеет неравенство: 1)-52)-9

Ниже вариант решения задания из учебника Мерзляк, Полонский, Якир 9 класс, Вентана-Граф:
Сколько целых решений имеет неравенство:
1)-5
2)-9
