Упражнение 12 Проверьте себя (тест) Глава 1 ГДЗ Дорофеев Суворова 9 класс (Алгебра)
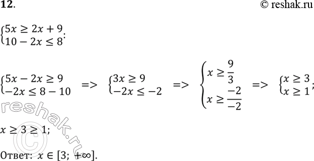
12. Решите систему неравенств 5x ? 2x + 9 и 10 - 2x ? 8.

Ниже вариант решения задания из учебника Дорофеев, Суворова, Бунимович 9 класс, Просвещение:
12. Решите систему неравенств 5x ? 2x + 9 и 10 - 2x ? 8.
