Страница 38 Часть 2 ГДЗ Рабочая тетрадь Моро Волкова 4 класс (Математика)
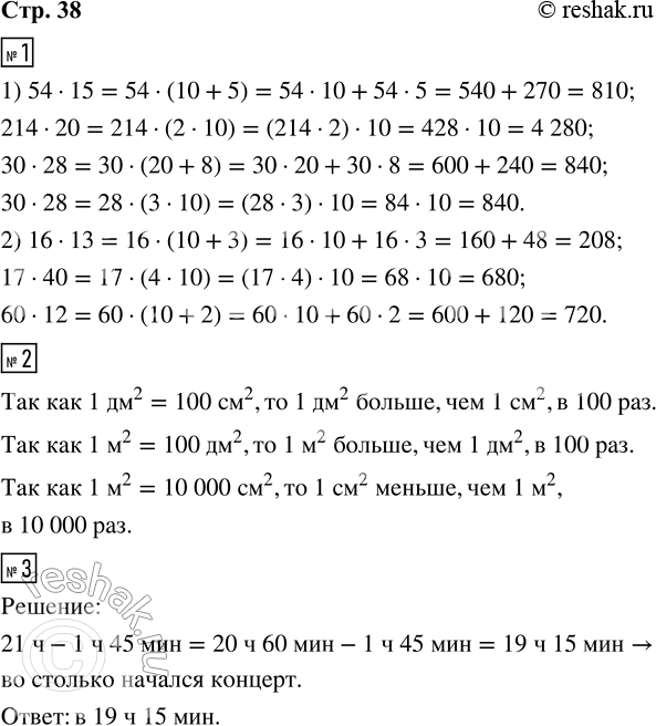
1. 1) Закончи вычисления. 54 · 15 = 54 · (10 + 5) 214 · 20 = 214 · (2 · 10) 30 · 28 = 30 · (20 + 8) 30 · 28 = 28 · (3 · 10) 2) Вычисли.

Ниже вариант решения задания из учебника Волкова, Моро 4 класс, Просвещение:
1. 1) Закончи вычисления.
54 · 15 = 54 · (10 + 5)
214 · 20 = 214 · (2 · 10)
30 · 28 = 30 · (20 + 8)
30 · 28 = 28 · (3 · 10)
2) Вычисли.
16 · 13
17 · 40
60 · 12
2. Закончи записи.
1 дм^2 больше, чем 1 см^2, в ___ раз.
1 м^2 больше, чем 1 дм^2, в ___ раз.
1 см^2 меньше, чем 1 м^2, в ___ раз.
Проверь свои ответы по таблице на обороте обложки тетради.
3. Концерт продолжался 1 ч 45 мин. В какое время начался концерт, если он закончился в 21 ч?
