Страница 42 Часть 2 ГДЗ Рабочая тетрадь Моро Волкова 4 класс (Математика)
13. 728 · 26 5 109 · 63 8 400 · 32 14. В магазин привезли 2 т 82 кг картофеля, лука — в 6 раз меньше, чем картофеля, а моркови — на 53 кг больше, чем лука.


Ниже вариант решения задания из учебника Волкова, Моро 4 класс, Просвещение:
13. 728 · 26 5 109 · 63 8 400 · 32
14. В магазин привезли 2 т 82 кг картофеля, лука — в 6 раз меньше, чем картофеля, а моркови — на 53 кг больше, чем лука. Сколько всего килограммов картофеля, лука и моркови привезли в магазин?
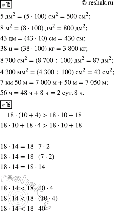
15.
5 дм^2 = ___ см^2 8 700 см^2 = ___ дм^2
8 м^2 = ___ дм^2 4 300 мм^2 = ___ см^2
43 дм = ___ см 7 км 50 м = ___ м
38 ц = ___ кг 56 ч = ___ сут. ___ ч
16.
18 · (10 + 4) ___ 18 · 10 + 18
18 · 14 ___ 18 · 7 · 2
18 · 14 ___ 18 · 10 · 4
