Урок 48 Часть 2 ГДЗ Рабочая тетрадь Петерсон 4 класс (2023) (Математика)
1. Вырази в указанных единицах измерения: 630 см = __ м __ дм 630 с = __ мин __ с 630 кг = __ ц __ кг 630 см^2 = __ дм^2 __ см^2 2.



Ниже вариант решения задания из учебника Петерсон 4 класс, Просвещение:
1. Вырази в указанных единицах измерения:
630 см = __ м __ дм 630 с = __ мин __ с
630 кг = __ ц __ кг 630 см^2 = __ дм^2 __ см^2
2. Что общего в данных выражениях? Заполни таблицу и выполни действия:
1 м^2 - 1 дм^2
3 дм^2 4 см^2 + 26 см^2
80 мм^2 · 5
1 км^2 40 м^2 : 2
3. а) Попробуй выполнить действие:
6 га 8 а : 4
Что ты пока не знаешь? Поставь перед собой цель и составь план.
б) Рассмотри таблицу мер площади. Где нарушена закономерность? Догадайся, как её установить с помощью новых единиц площади:
Как ты думаешь, какую из этих единиц называют соткой? Почему? Проверь себя по учебнику, стр. 122. Если нужно, исправь ошибки.
4. а) Вырази в более мелких единицах площади:
5 а = __ м^2 3 га = __ а 7 га = __ м^2
20 а = __ м^2 12 га = __ а 15 га = __ м^2
б) Вырази в более крупных единицах площади:
400 м^2 = __ а 800 а = __ га 50 000 м^2 = __ га
3600 м^2 = __ а 42 000 а = __ га 9 400 000 м^2 = __ га
5. Вырази в указанных единицах измерения:
2 а = __ м^2 5 га 4 а = __ а
8 га 3 а = __ м^2 9000 а = __ га
6 соток = __ м2 32 м^2 = __ га
7 дм^2 = __ м^2 48 000 м^2 = __ га __ а
6. Выполни действия. Ответ вырази в возможно более крупных единицах измерения.
15 а 8 м^2 - 9 а 52 м^2
4 га 9 а 27 м^2 + 6 га 73 м^2
38 а 4 м^2 · 25
5 га 64 а : 8
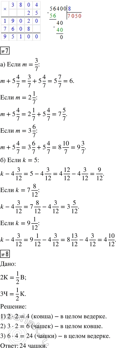
7. Найди значения выражений:
а) m + 5 4/7, если m = 3/7, 2 1/7, 3 6/7
б) k - 4 3/12, если k = 5, 7 8/12, 9 1/12
8. Два ковша воды - это половина ведёрка, а три чашки - это половина ковша. Сколько чашек в целом ведёрке?
