Стр.46 Часть 2 ГДЗ Башмаков Нефедова 4 класс (Математика)
ПРОВЕРЯЕМ, ЧЕМУ МЫ НАУЧИЛИСЬ 1. Вырази в заданных единицах площади. 2 дм^2 = ... см^2 15 м^2 = ... дм^2 3 м^2 = ...




Ниже вариант решения задания из учебника Башмаков, Нефедова 4 класс, Астрель:
ПРОВЕРЯЕМ, ЧЕМУ МЫ НАУЧИЛИСЬ
1. Вырази в заданных единицах площади.
2 дм^2 = ... см^2 15 м^2 = ... дм^2 3 м^2 = ... см^2
400 см^2 = ... дм^2 3000 дм^2 = ... м^2 120 000 см^2 = ... м^2
2. Земельный участок имеет форму прямоугольника. Одна сторона равна 31 м 6 дм, а другая на 9 м 1 дм короче. Найди площадь участка.
• Вырази ответ в квадратных метрах.
• Сколько полных соток занимает этот участок?
МАТЕМАТИЧЕСКИЙ ТРЕНАЖЁР
1. Вырази в заданных единицах длины.
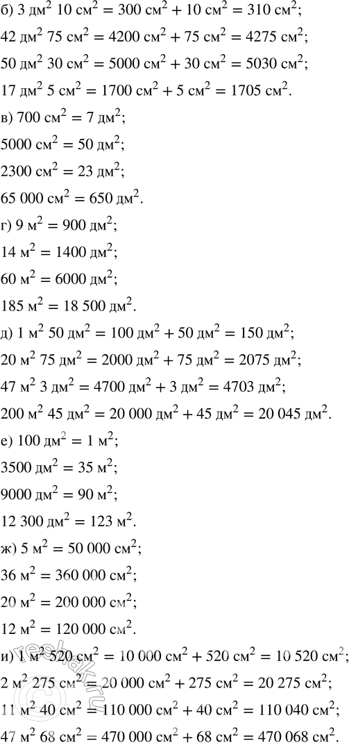
а) 4 дм^2 = ... см^2 б) 3 дм^2 10 см^2 = ... см^2 в) 700 см^2 = ... дм^2
25 дм^2 = ... см^2 42 дм^2 75 см^2 = ... см^2 5000 см^2 = ... дм^2
80 дм^2 = ... см^2 50 дм^2 30 см^2 = ... см^2 2300 см^2 = ... дм^2
1300 дм^2 = ... см^2 17 дм^2 5 см^2 = ... см^2 65 000 см^2 = ... дм^2
г) 9 м^2 = ... дм^2 д) 1 м^2 50 дм^2 = ... дм^2 е) 100 дм^2 = ... м^2
14 м^2 = ... дм^2 20 м^2 75 дм^2 = ... дм^2 3500 дм^2 = ... м^2
60 м^2 = ... дм^2 47 м^2 3 дм^2 = ... дм^2 9000 дм^2 = ... м^2
185 м^2 = ... дм^2 200 м^2 45 дм^2 = ... дм^2 12 300 дм^2 = ... м^2
ж) 5 м^2 = ... см^2 и) 1 м^2 520 см^2 = ... см^2 з) 20 000 см^2 = ... м^2
36 м^2 = ... см^2 2 м^2 275 см^2 = ... см^2 280 000 см^2 = ... м^2
20 м^2 = ... см^2 11 м^2 40 см^2 = ... см^2 400 000 см^2 = ... м^2
12 м^2 = ... см^2 47 м^2 68 см^2 = ... см^2 55 000 см^2 = ... м^2
2. Вычисли:
а) 604 · 225 б) 417 · 154 в) 2201 · 62 г) 76 800 : 6
730 · 138 611 · 725 7008 · 89 16 848 : 8
458 · 506 308 · 283 4083 · 67 12 300 : 60
203 · 809 192 · 605 8085 · 97 26 800 : 40
