Упражнение 35 Часть 1 ГДЗ Истомина 4 класс (Математика)
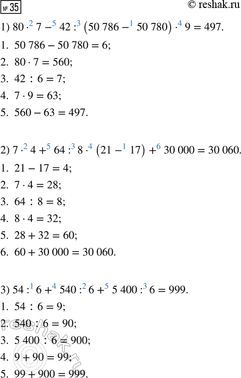
35. Вычисли значения выражений. 1) 80 · 7 - 42 : (50 786 - 50 780) · 9 2) 7 · 4 + 64 :

Ниже вариант решения задания из учебника Истомина 4 класс, Просвещение:
35. Вычисли значения выражений.
1) 80 · 7 - 42 : (50 786 - 50 780) · 9
2) 7 · 4 + 64 : 8 · (21 - 17) + 30 000
3) 54 : 6 + 540 : 6 + 5400 : 6
