Упражнение 267 Часть 2 ГДЗ Истомина 4 класс (Математика)
267. Запиши каждое предложение уравнением и реши его. 1. Неизвестное число уменьшили на 708 и получили 1200. 2. Число 834 уменьшили на несколько единиц и получили 829.

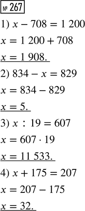
Ниже вариант решения задания из учебника Истомина 4 класс, Просвещение:
267. Запиши каждое предложение уравнением и реши его.
1. Неизвестное число уменьшили на 708 и получили 1200.
2. Число 834 уменьшили на несколько единиц и получили 829.
3. Неизвестное число уменьшили в 19 раз и получили 607.
4. К неизвестному числу добавили 175 и получили 207.
