Упражнение 49 Часть 2 ГДЗ Истомина 4 класс (Математика)
49. Вставь пропущенные числа, чтобы получились верные равенства. 1) 7 дм 2 см + 4 см = ... см 2) 7 м 2 дм + 4 дм = ...

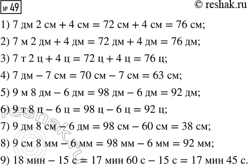
Ниже вариант решения задания из учебника Истомина 4 класс, Просвещение:
49. Вставь пропущенные числа, чтобы получились верные равенства.
1) 7 дм 2 см + 4 см = ... см
2) 7 м 2 дм + 4 дм = ... дм
3) 7 т 2 ц + 4 ц = ... ц
4) 7 дм - 7 см = ... см
5) 9 м 8 дм - 6 дм = ... дм
6) 9 т 8 ц - 6 ц = ... ц
7) 9 дм 8 см - 6 дм = ... см
8) 9 см 8 мм - 6 мм = ... мм
9) 18 мин - 15 с = ... мин ... с
