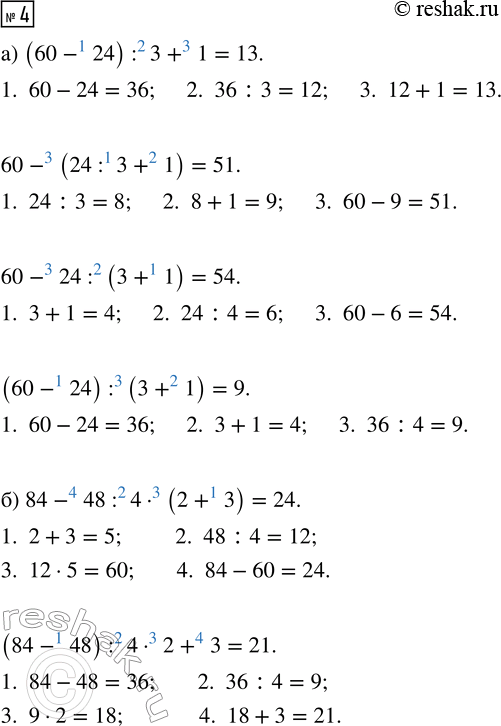
Упражнение 4 Часть 1 ГДЗ Рабочая тетрадь Истомина 4 класс (Математика)
Совет дня! Поиск по сайту решак.ру может помочь найти другой похожий топик из других учебных изданий. Таким образом, можете скомпоновать их разные части и получить уникальный ответ на задание.


Совет дня! Поиск по сайту решак.ру может помочь найти другой похожий топик из других учебных изданий. Таким образом, можете скомпоновать их разные части и получить уникальный ответ на задание.
