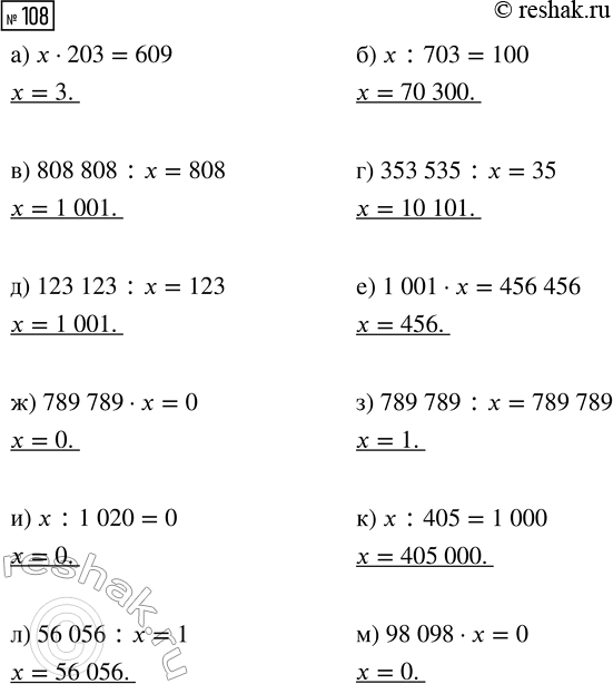
Упражнение 108 Часть 2 ГДЗ Рабочая тетрадь Истомина 4 класс (Математика)
Совет дня! Поиск по сайту решак.ру может помочь найти другой похожий топик из других учебных изданий. Таким образом, можете скомпоновать их разные части и получить уникальный ответ на задание.

Совет дня! Поиск по сайту решак.ру может помочь найти другой похожий топик из других учебных изданий. Таким образом, можете скомпоновать их разные части и получить уникальный ответ на задание.
