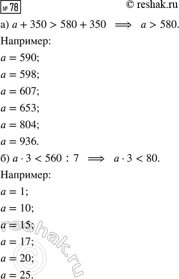
Упражнение 78 Часть 2 ГДЗ Рабочая тетрадь Истомина 4 класс (Математика)
Совет дня! Чтобы не спалиться на списывании, сайт решак.ру рекомендует максимально изменять тексты сочинений "под себя", изменять имена собственные, города, подбирать синонимы.

Совет дня! Чтобы не спалиться на списывании, сайт решак.ру рекомендует максимально изменять тексты сочинений "под себя", изменять имена собственные, города, подбирать синонимы.
