Упражнение 121(стар учебник) ГДЗ Дорофеев Суворова 7 класс (Алгебра)
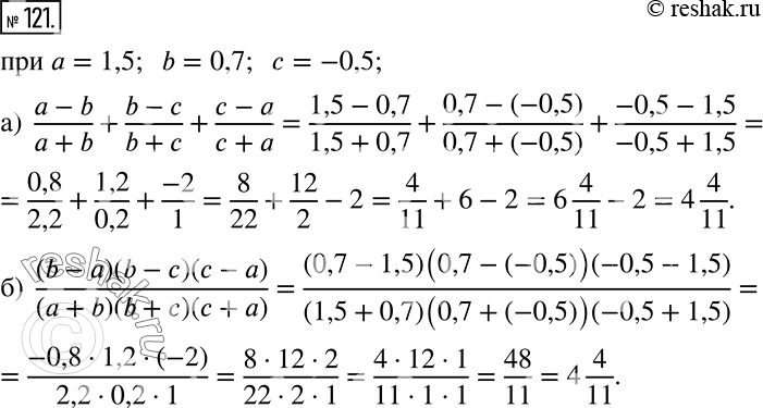
Вычислите значение выражения при а = 1,5, b = 0,7, с = -0,5: а) (a-b)/(a+b) + (b-c)/(b+c) + (c-a)/(c+a); б) ((b-a) (b-c)(c-a))/(a+b)(b+c)(c+a)).

Ниже вариант решения задания из учебника Дорофеев, Суворова, Бунимович 7 класс, Просвещение:
Вычислите значение выражения при а = 1,5, b = 0,7, с = -0,5:
а) (a-b)/(a+b) + (b-c)/(b+c) + (c-a)/(c+a);
б) ((b-a) (b-c)(c-a))/(a+b)(b+c)(c+a)).
