Упражнение 215(стар учебник) ГДЗ Дорофеев Суворова 7 класс (Алгебра)
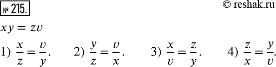
Дано равенство ху = zv. Составьте четыре пропорции, членами которых являются те же числа х, у, z и v. *Цитирирование задания со ссылкой на учебник производится исключительно в учебных целях для лучшего понимания разбора решения задания.

Ниже вариант решения задания из учебника Дорофеев, Суворова, Бунимович 7 класс, Просвещение:
Дано равенство ху = zv. Составьте четыре пропорции, членами которых являются те же числа х, у, z и v.
