Упражнение 216(стар учебник) ГДЗ Дорофеев Суворова 7 класс (Алгебра)
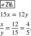
Известно, что 15x = 12у. Найдите отношение х к у. *Цитирирование задания со ссылкой на учебник производится исключительно в учебных целях для лучшего понимания разбора решения задания.

Ниже вариант решения задания из учебника Дорофеев, Суворова, Бунимович 7 класс, Просвещение:
Известно, что 15x = 12у. Найдите отношение х к у.
