Упражнение 326(стар учебник) ГДЗ Дорофеев Суворова 7 класс (Алгебра)
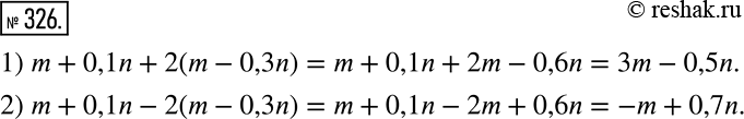
Составьте сумму и разность выражений m + 0,1n и 2(m - 0,3n) и упростите их. *Цитирирование задания со ссылкой на учебник производится исключительно в учебных целях для лучшего понимания разбора решения задания.

Ниже вариант решения задания из учебника Дорофеев, Суворова, Бунимович 7 класс, Просвещение:
Составьте сумму и разность выражений m + 0,1n и 2(m - 0,3n) и упростите их.
