Упражнение 327(стар учебник) ГДЗ Дорофеев Суворова 7 класс (Алгебра)
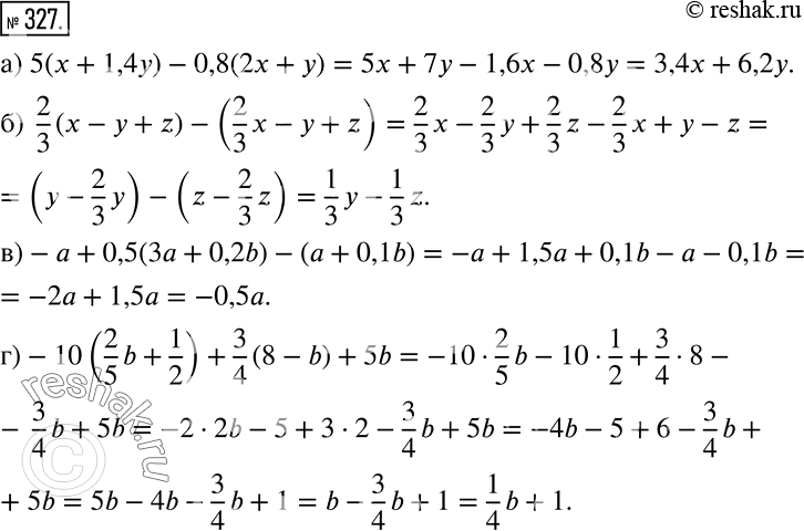
Упростите выражение: а) 5(х + 1,4y) - 0,8(2x + у); б) 2/3*(x - у + z) - (2/3*x - у + z);

Ниже вариант решения задания из учебника Дорофеев, Суворова, Бунимович 7 класс, Просвещение:
Упростите выражение:
а) 5(х + 1,4y) - 0,8(2x + у);
б) 2/3*(x - у + z) - (2/3*x - у + z);
в) -a + 0,5(3a + 0,2b)-(a + 0,1b);
г) -10(2/5*b + 1/2) + 3/4*(8 - b) + 5b.
