Упражнение 328(стар учебник) ГДЗ Дорофеев Суворова 7 класс (Алгебра)
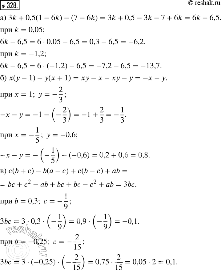
Найдите значение выражения: а) 3k + 0,5(1 - 6k) - (7 - 6k) при k = 0,05; k = -1,2; б) x(y - 1) - у(х + 1) при х = 1, у = -2/3;

Ниже вариант решения задания из учебника Дорофеев, Суворова, Бунимович 7 класс, Просвещение:
Найдите значение выражения:
а) 3k + 0,5(1 - 6k) - (7 - 6k) при k = 0,05; k = -1,2;
б) x(y - 1) - у(х + 1) при х = 1, у = -2/3; x = - 1/5, у = -0,6;
в) с(b + с) - b(a - с) + с(b - с) + ab при b= 0,3, с = -1/9; b = -0,25, c= -2/15.
