Упражнение 36(стар учебник) ГДЗ Дорофеев Суворова 7 класс (Алгебра)
Упростите: а) а * а * а * х * х * х * х * х; б) 3 * 3 * х * х * х * у * у * у * у;

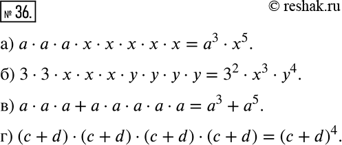
Ниже вариант решения задания из учебника Дорофеев, Суворова, Бунимович 7 класс, Просвещение:
Упростите:
а) а * а * а * х * х * х * х * х;
б) 3 * 3 * х * х * х * у * у * у * у;
в) а * а * а + а * а * а * а * а;
г) (с + d) * (с + d) * (с + d) * (с + d).
