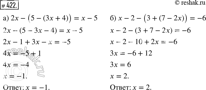
Упражнение 422(стар учебник) ГДЗ Дорофеев Суворова 7 класс (Алгебра)
a) 2x-(5-(Р—x + 4)) = x-5; Р±) x-2-(3 +(7-2x)) = -6. *Цитирирование задания со ссылкой на учебник производится исключительно в учебных целях для лучшего понимания разбора решения задания.

Ниже вариант решения задания из учебника Дорофеев, Суворова, Бунимович 7 класс, Просвещение:
a) 2x-(5-(Р—x + 4)) = x-5;
Р±) x-2-(3 +(7-2x)) = -6.
