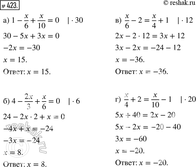
Упражнение 423(стар учебник) ГДЗ Дорофеев Суворова 7 класс (Алгебра)
а) 1 - x5 + x/10 = 0; б) 4 - 2x/3 + x/6 = 0; в) x/6 - 2 = x/4 + 1;

Ниже вариант решения задания из учебника Дорофеев, Суворова, Бунимович 7 класс, Просвещение:
а) 1 - x5 + x/10 = 0;
б) 4 - 2x/3 + x/6 = 0;
в) x/6 - 2 = x/4 + 1;
г) x/4 + 2 = x/10- 1.
