Упражнение 424(стар учебник) ГДЗ Дорофеев Суворова 7 класс (Алгебра)
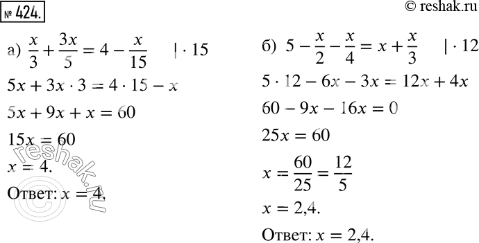
а) x/3 + 3x/5 = 4 - x/15; б) 5 - x/2 - x/4 = x + x/3. *Цитирирование задания со ссылкой на учебник производится исключительно в учебных целях для лучшего понимания разбора решения задания.

Ниже вариант решения задания из учебника Дорофеев, Суворова, Бунимович 7 класс, Просвещение:
а) x/3 + 3x/5 = 4 - x/15;
б) 5 - x/2 - x/4 = x + x/3.
