Упражнение 517(стар учебник) ГДЗ Дорофеев Суворова 7 класс (Алгебра)
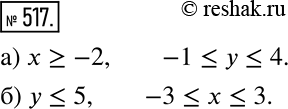
Задайте с помощью неравенств множества точек координатной плоскости, изображённые на рисунке 5.49, а, б. *Цитирирование задания со ссылкой на учебник производится исключительно в учебных целях для лучшего понимания разбора решения задания.

Ниже вариант решения задания из учебника Дорофеев, Суворова, Бунимович 7 класс, Просвещение:
Задайте с помощью неравенств множества точек координатной плоскости, изображённые на рисунке 5.49, а, б.
