Упражнение 531(стар учебник) ГДЗ Дорофеев Суворова 7 класс (Алгебра)
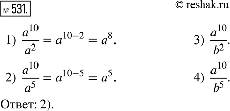
Какие из данных дробей равны выражению а5? 1) a10/a2 2) a10/a5 3) a10/b2 4) a10/b5 *Цитирирование задания со ссылкой на учебник производится исключительно в учебных целях для лучшего понимания разбора решения задания.

Ниже вариант решения задания из учебника Дорофеев, Суворова, Бунимович 7 класс, Просвещение:
Какие из данных дробей равны выражению а5?
1) a10/a2
2) a10/a5
3) a10/b2
4) a10/b5
