Упражнение 540(стар учебник) ГДЗ Дорофеев Суворова 7 класс (Алгебра)
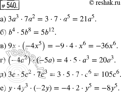
Упростите произведение: а) 3а3 * 7а2; б) b4 * 5b8; в) 9х * (-4х5); г) (-4а2) * (-5а); д) Зс * 5с2 * 7с3;

Ниже вариант решения задания из учебника Дорофеев, Суворова, Бунимович 7 класс, Просвещение:
Упростите произведение:
а) 3а3 * 7а2;
б) b4 * 5b8;
в) 9х * (-4х5);
г) (-4а2) * (-5а);
д) Зс * 5с2 * 7с3;
е) у * 4у3 (-2у).
