Упражнение 542(стар учебник) ГДЗ Дорофеев Суворова 7 класс (Алгебра)
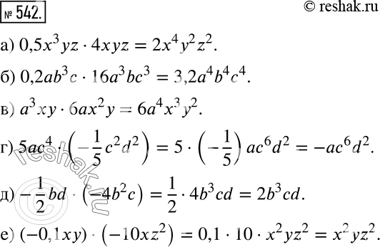
Упростите выражение: а) 0,5x3yz * 4xyz; б) 0,2ab3c * 16a3bc3; в) a3xy * 6ax2y; г) 5ac4 * (-1/5*c2d2); д) -1/2 * bd * (-4b2c);

Ниже вариант решения задания из учебника Дорофеев, Суворова, Бунимович 7 класс, Просвещение:
Упростите выражение:
а) 0,5x3yz * 4xyz;
б) 0,2ab3c * 16a3bc3;
в) a3xy * 6ax2y;
г) 5ac4 * (-1/5*c2d2);
д) -1/2 * bd * (-4b2c);
е) (-0,1xy) * (-10xz2).
