Упражнение 544(стар учебник) ГДЗ Дорофеев Суворова 7 класс (Алгебра)
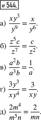
а) xy3/y9; б) z5c/z7; в) a2b/a3b; г) 3y3/xy4; д) 2m4/m5n. *Цитирирование задания со ссылкой на учебник производится исключительно в учебных целях для лучшего понимания разбора решения задания.

Ниже вариант решения задания из учебника Дорофеев, Суворова, Бунимович 7 класс, Просвещение:
а) xy3/y9;
б) z5c/z7;
в) a2b/a3b;
г) 3y3/xy4;
д) 2m4/m5n.
