Упражнение 545(стар учебник) ГДЗ Дорофеев Суворова 7 класс (Алгебра)
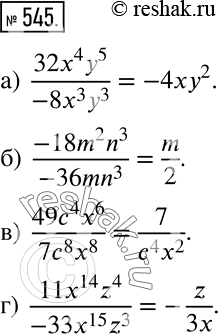
Упростите выражение: а) 32x4y5/-8x3y3; б) -18m2n3/-36mn3; в) 49c4x6/7c8x8; г) 11x14z4/-33x15z3. *Цитирирование задания со ссылкой на учебник производится исключительно в учебных целях для лучшего понимания разбора решения задания.

Ниже вариант решения задания из учебника Дорофеев, Суворова, Бунимович 7 класс, Просвещение:
Упростите выражение:
а) 32x4y5/-8x3y3;
б) -18m2n3/-36mn3;
в) 49c4x6/7c8x8;
г) 11x14z4/-33x15z3.
