Упражнение 554(стар учебник) ГДЗ Дорофеев Суворова 7 класс (Алгебра)
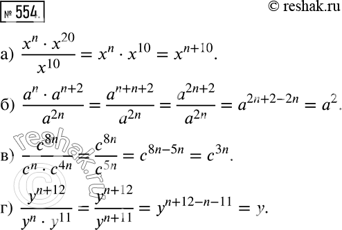
Упростите выражение: а) (xn * x20)/x10; б) (an * a^(n+2))/a^2n; в) c8n/(cn * c4n); г) y^(n+12)/(yn * y11). *Цитирирование задания со ссылкой на учебник производится исключительно в учебных целях для лучшего понимания разбора решения задания.

Ниже вариант решения задания из учебника Дорофеев, Суворова, Бунимович 7 класс, Просвещение:
Упростите выражение:
а) (xn * x20)/x10;
б) (an * a^(n+2))/a^2n;
в) c8n/(cn * c4n);
г) y^(n+12)/(yn * y11).
