Упражнение 557(стар учебник) ГДЗ Дорофеев Суворова 7 класс (Алгебра)
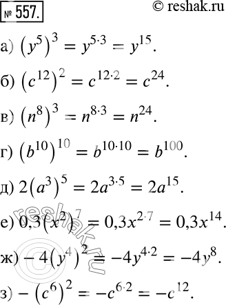
Действуем по правилу (557 — 559) 557 Выполните действия: а) (у5)3; б) (с12)2; в) (n8)3; г) (b10)10; д) 2(а3)5; е) 0,3(x2)7;

Ниже вариант решения задания из учебника Дорофеев, Суворова, Бунимович 7 класс, Просвещение:
Действуем по правилу (557 — 559)
557 Выполните действия:
а) (у5)3;
б) (с12)2;
в) (n8)3;
г) (b10)10;
д) 2(а3)5;
е) 0,3(x2)7;
ж) -4(у4)2;
з) -(с6)2.
