Упражнение 560(стар учебник) ГДЗ Дорофеев Суворова 7 класс (Алгебра)
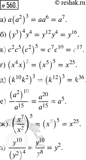
Упростите выражение: а) а(а2)3; б) (y3)4y4; в) с2с5(с2)5; г) (х4х)5; д) (k10k2)3; е) (a2)10/a15; ж) (x7/x2)5; з) y10/(y2)4. *Цитирирование задания со ссылкой на учебник производится исключительно в учебных целях для лучшего понимания разбора решения задания.

Ниже вариант решения задания из учебника Дорофеев, Суворова, Бунимович 7 класс, Просвещение:
Упростите выражение:
а) а(а2)3;
б) (y3)4y4;
в) с2с5(с2)5;
г) (х4х)5;
д) (k10k2)3;
е) (a2)10/a15;
ж) (x7/x2)5;
з) y10/(y2)4.
