Упражнение 564(стар учебник) ГДЗ Дорофеев Суворова 7 класс (Алгебра)
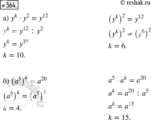
Рассуждаем При каком значении k верно равенство: a) уk * у2 = у12, (уk)2 = у12; б) (а5)k = а20, a5 * аk = а20?

Ниже вариант решения задания из учебника Дорофеев, Суворова, Бунимович 7 класс, Просвещение:
Рассуждаем При каком значении k верно равенство:
a) уk * у2 = у12, (уk)2 = у12;
б) (а5)k = а20, a5 * аk = а20?
