Упражнение 568(стар учебник) ГДЗ Дорофеев Суворова 7 класс (Алгебра)
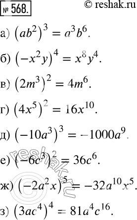
Выполните действия: а) (ab2)3; б) (-х2у)4; в) (2m3)2; г) (4x5)2; д) (-10а3)3; е) (-6с3)2; ж) (-2а2x)5; з) (3ас4)4. *Цитирирование задания со ссылкой на учебник производится исключительно в учебных целях для лучшего понимания разбора решения задания.

Ниже вариант решения задания из учебника Дорофеев, Суворова, Бунимович 7 класс, Просвещение:
Выполните действия:
а) (ab2)3;
б) (-х2у)4;
в) (2m3)2;
г) (4x5)2;
д) (-10а3)3;
е) (-6с3)2;
ж) (-2а2x)5;
з) (3ас4)4.
