Упражнение 569(стар учебник) ГДЗ Дорофеев Суворова 7 класс (Алгебра)
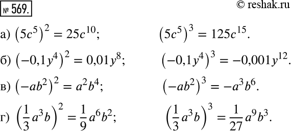
Возведите в квадрат и в куб выражение: а) 5с5; б) —0,1у4; в) -аb2; г) 1/3*а3b. *Цитирирование задания со ссылкой на учебник производится исключительно в учебных целях для лучшего понимания разбора решения задания.

Ниже вариант решения задания из учебника Дорофеев, Суворова, Бунимович 7 класс, Просвещение:
Возведите в квадрат и в куб выражение:
а) 5с5;
б) —0,1у4;
в) -аb2;
г) 1/3*а3b.
