Упражнение 577(стар учебник) ГДЗ Дорофеев Суворова 7 класс (Алгебра)
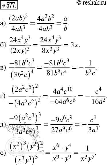
а) (2ab)2/4ab3; б) 24x4y3/(2xy)3; в) -81b6c3/(3b2c)4; г) (2a2c5)2/-(4a2c2)3; д) -9(a2c3)3/(3a3c2)3; е) (x2)3(y2)2/(x3y3)3. *Цитирирование задания со ссылкой на учебник производится исключительно в учебных целях для лучшего понимания разбора решения задания.

Ниже вариант решения задания из учебника Дорофеев, Суворова, Бунимович 7 класс, Просвещение:
а) (2ab)2/4ab3;
б) 24x4y3/(2xy)3;
в) -81b6c3/(3b2c)4;
г) (2a2c5)2/-(4a2c2)3;
д) -9(a2c3)3/(3a3c2)3;
е) (x2)3(y2)2/(x3y3)3.
