Упражнение 582(стар учебник) ГДЗ Дорофеев Суворова 7 класс (Алгебра)
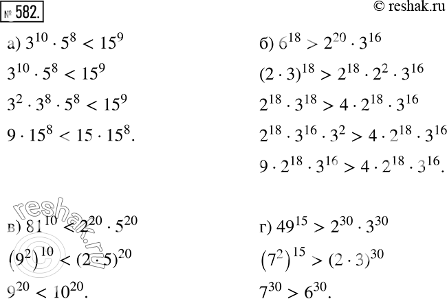
Рассуждаем Сравните: а) 3^10 * 5^8 и 15^9; б) 6^18 и 2^20 * 3^16; в) 81^10 и 2^30 * 5^20; г) 49^15 и 2^30 * 3^30.

Ниже вариант решения задания из учебника Дорофеев, Суворова, Бунимович 7 класс, Просвещение:
Рассуждаем Сравните:
а) 3^10 * 5^8 и 15^9;
б) 6^18 и 2^20 * 3^16;
в) 81^10 и 2^30 * 5^20;
г) 49^15 и 2^30 * 3^30.
