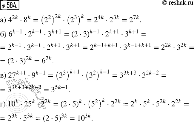
Упражнение 584(стар учебник) ГДЗ Дорофеев Суворова 7 класс (Алгебра)
Представьте в виде степени: а) 4^2k * 8k; б) 6^(k-1) * 2^(k + 1) * 3^(k + 1); в) 27^(k + 1) * 9^(k-1);

Ниже вариант решения задания из учебника Дорофеев, Суворова, Бунимович 7 класс, Просвещение:
Представьте в виде степени:
а) 4^2k * 8k;
б) 6^(k-1) * 2^(k + 1) * 3^(k + 1);
в) 27^(k + 1) * 9^(k-1);
г) 10k * 25k * 2^2k.
