Упражнение 616(стар учебник) ГДЗ Дорофеев Суворова 7 класс (Алгебра)
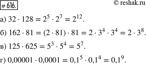
Запишите произведение: а) 32 * 128 в виде степени числа 2; б) 162 * 81 в виде степени числа 3; в) 125*625 в виде степени числа 5;

Ниже вариант решения задания из учебника Дорофеев, Суворова, Бунимович 7 класс, Просвещение:
Запишите произведение:
а) 32 * 128 в виде степени числа 2;
б) 162 * 81 в виде степени числа 3;
в) 125*625 в виде степени числа 5;
г) 0,00001*0,0001 в виде степени числа 0,1.
